Pengertian Rangkaian Campuran ( gabungan seri dan paralel ) serta contohnya
Pada umumnya secara karakteristik rangkaian listrik itu ada dua macam yaitu rangkaian seri dan paralel, Akan tetapi ada satu lagi bentuk rangkaian listrik yang biasa disebut rangkaian campuran. Rangkaian campuran ini merupakan kombinasi dari rangkaian seri dan paralel.
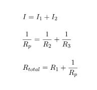
Rumus Rangkaian Campuran
Contoh Rangkaian Campuran
Berikut ini adalah contoh gambar rangkaian campuran.
Baterai dirangkai secara seri, sedangkan saklar dan lampu adalah rangkaian paralel.
Sekian dulu artikel kali ini semoga bermanfaat.
Dikutip dari : http://www.rangkaianelektronika.org/rangkaian-campuran.htm
Untuk dapat mencari besarnya hambatan yang terdapat pada rangkaian campuran, terlebih dahulu kita harus mencari besaran hambatan pada tiap-tiap model rangkaian (seri dan paralel), setelah kita menemukan besaran hambatan pada kedua rangkaian tersebut kemudian kita mencari hambatan dari gabungan rangkaian akhir yang telah kita dapat.
Contoh yang kita peroleh dari penjelasan di atas adalah model rangkaian seri, sehingga total rangkaian yang nantinya akan kita cari harus dengan persamaan hambatan pengganti pada rangkaian hambatan seri. Sedangkan untuk rangkaian paralel, kita harus mencarinya dengan cara menghubungkan suatu hambatan secara paralel baru kita akan mendapatkan hasil tersebut.
Berikut ini kami jelaskan masing-masing dari rangkaian seri dan paralel.
Rangkaian seri adalah rangkaian listrik yang tersusun berurutan (seri). Contohnya adalah baterai yang terdapat di dalam senter pada umumnya di susun secara seri. Rangkaian yang disusun secara seri hanya memiliki satu jalur yang dapat dilalui arus listrik di sepanjang rangkaian. Jadi di dalam rangkaian ini terdapat banyak beban listrik yang tersusun dalam satu rangkaian.
Rangkaian paralel adalah rangkaian listrik yang di susun secara bersusun (paralel). Contohnya adalah lampu yang biasa dipasang di rumah pada umumya menggunakan rangkaian paralel. Rangkaian paralel merupakan jenis rangkaian yang memiliki lebih dari satu jalur yang dapat dilalui oleh arus listrik.
Contoh Rangkaian Campuran yang dapat dihubungkan dengan rangkaian paralel adalah kendaraan bermotor yang sebagian besar komponennya terdapat beban listrik yang lebih banyak dari rangkaian seri. Masing masing dari rangkaian tersebut dapat di hubungkan atau di putuskan tanpa mempengaruhi rangkaian yang lain. Rangkaian seri dan rangkaian paralel adalah 2 jenis rangkaian yang di gunakan untuk menghubungkan satu atau lebih komponen listrik menjadi satu kesatuan rangkaian. Penggabungan kedua rangkaian ini di sebut dengan Rangkaian Campuran.
Contoh Rangkaian Campuran
Berikut ini adalah contoh gambar rangkaian campuran.
Baterai dirangkai secara seri, sedangkan saklar dan lampu adalah rangkaian paralel.
Sekian dulu artikel kali ini semoga bermanfaat.
Dikutip dari : http://www.rangkaianelektronika.org/rangkaian-campuran.htm


oke min
ReplyDeletelampu servis hp
Saya ingin bertanya, apakah ada rumus cepat atau strategi tertentu untuk menyederhanakan rangkaian campuran yang cukup kompleks, terutama jika terdiri dari banyak resistor?
ReplyDelete